軸承運轉的升溫理論計量我們一般可以從球磨機生產的兩個方面來考慮,一方面是等溫狀態,也就是說摩擦功耗所轉化成的熱能全部傳遞給球磨機內的各個軸或是其他存在狀態,而潤滑油的溫度并沒有升高。另一方面則是絕熱狀態,也就是說摩擦所用到的功轉變成的熱能完全被潤滑油吸收并且溫度得到升高。
事實上,進行球磨機內軸承升溫過程中,軸承常常處在這兩者之間,但是由于其所受到的影響因素有很多,因此可實施的處理操作就會很多。在一些處理操作中因為某種原因又會令計量具有一定的局限性,同時軸承所受到的熱影響其復雜性還與所進行的球磨機軸運轉試驗難易程度有關,這是因為球磨機內軸承處的油膜其溫度是很難掌握的,要相對徑向位置的溫度分布就會更加困難。
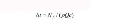
針對以上所分析的問題,我們也進行過許多實驗,在實驗中我們會發現試驗所獲得的結果其通用性比較差,其主要問題還在于接近真實結構以及運轉工況的模擬操作比較困難,因此在球磨機的運轉中,軸承的熱影響仍然是一個難題,還需要我們堅持不懈的實驗與分析。在實驗操作中我們常常用到的計量公式如圖所示,

并假設潤滑油吸收了全部的熱。其中Nf是摩擦功率w,Q是軸承流量即m3/s,p為球磨機生產時所用潤滑油的密度即kg/m3,c則是比熱容即J/(kg·C)。