制粉系統的設計和運行目標是為了保證球磨機運轉中,磨煤單位電耗、金屬消耗量維持較小量運轉,同時保證數量、細度及干燥程度都合格的煤粉可以安全送達鍋爐中燃燒,并提供合適的燃燒風量和風壓,保證球磨機的較佳運轉工礦。
針對以上操作,我們需要制定一些標準來有效控制球磨機制粉系統,具體如下:
1、將球磨機中存煤量Y1維持在較佳范圍(存煤量過小將降低磨粉出力,過大不但會降低磨粉出力,同時還會造成堵煤)。并及時觀察球磨機內存煤量偏離其較佳范圍的情況對給煤量u1進行調整,以降低給煤時對制粉出力的影響。
2、令球磨機出口溫度Y2始保持在設定值上下。因此我們需要及時對其熱風量u2進行調整。
3、為了確保環境衛生、磨粉細度,需及時對再循環風量u3進行調整,以穩定球磨機入口負壓Y3在-10~-20mmH2O附近。
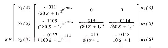
在穩態運轉情況下,國產DPM320/580球磨機的傳遞函數矩陣經過實測為:

顯然它是一個多變量、大滯后、強耦合控制對象,這樣所涉及的控制系統應具備以下特性:
1、在確保安全情況下,確保球磨機的較佳工況運行;
2、具備一定解耦能力;
3、具強魯棒性,可以適應不同運轉工礦;
4、具有可靠的安全保護、報警功能。
以上則是豫暉針對球磨機制粉系統進行的分析,更多相關介紹可隨時關注:http://m.t3130.com/